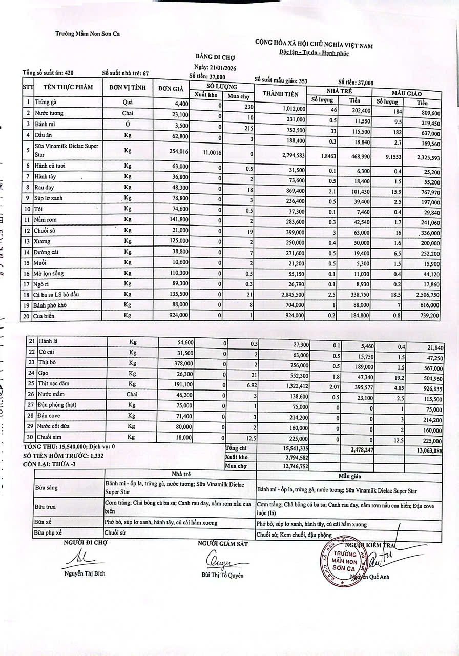
Bảng đi chợ ngày 21/1/2026

Thứ hai - 26/01/2026 15:25
Bảng đi chợ ngày 21/1/2026
.

Tổng số điểm của bài viết là: 0 trong 0 đánh giá

Click để đánh giá bài viết

  Ý kiến bạn đọc

Bữa sáng:

-Bánh canh cá, củ dền,su su,nấm hương
- Sữa Dielac vinamilk
 

Bữa trưa:

- Cơm trắng
- Mặn: Thịt gà chiên nước mắm
- canh: khoai tây cà rốt nấu thịt bò
- Luộc: Rau lang( lá)

Bữa xế:

- Bánh plan

Bữa chiều:

- Cháo tim heo,đậu xanh,nấm rơm

Văn bản mới

702/SGDĐT-GDTrHTX

Ngày ban hành: 02/04/2024. Trích yếu: Sở Giáo dục và Đào tạo Bình Dương thông báo công khai danh sách các trung tâm ngoại ngữ, tin học, cơ sở giáo dục kỹ năng sống trên địa bàn tỉnh Bình Dương đã được cấp phép theo thẩm quyền.

Ngày ban hành: 02/04/2024

KH số 37/KH-PGDĐT

Ngày ban hành: 21/06/2024. Trích yếu: Tuyển sinh MN

Ngày ban hành: 21/06/2024

QĐ số 66/QĐ-PGDĐT

Ngày ban hành: 12/06/2024. Trích yếu: Công nhận BDTX THCS

Ngày ban hành: 12/06/2024

Thăm dò ý kiến

Bạn quan tâm nhất điều gì khi con đến trường?

violimpic
Bộ giáo dục và đào tạo
Bạn đã không sử dụng Site, Bấm vào đây để duy trì trạng thái đăng nhập. Thời gian chờ: 60 giây