Bảng đi chợ ngày 02/03/2026

Thứ sáu - 20/03/2026 14:45
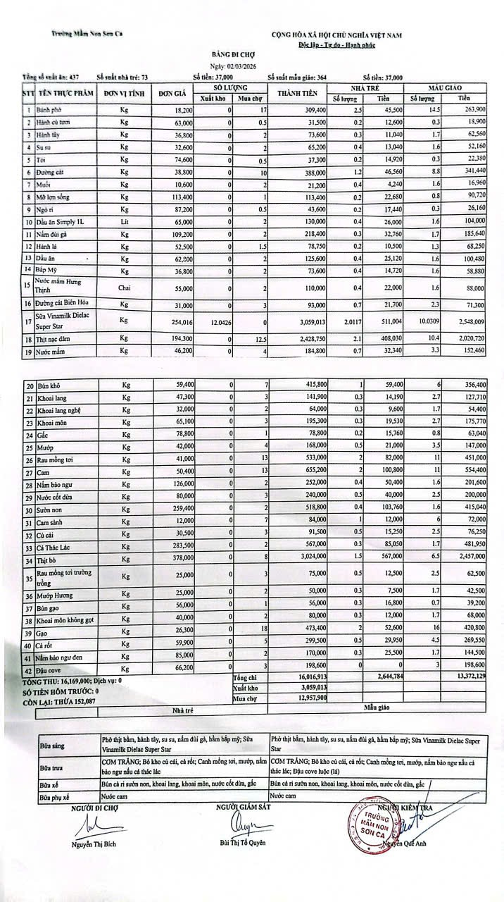
Bảng đi chợ ngày 02/03/2026
.

Tổng số điểm của bài viết là: 0 trong 0 đánh giá

Click để đánh giá bài viết

  Ý kiến bạn đọc

Những tin mới hơn

Những tin cũ hơn

Bữa sáng:

-Bún tôm tươi,súp lơ xanh,nấm đùi gà
- Sữa Dielac vinamilk
 

Bữa trưa:

- Cơm trắng
- Mặn:khô cá dứa rim đường
- Canh: rau mồng tơi nấu thịt nạc
- Xào: đậu đũa (lá)

Bữa xế:

- Dưa hấu

Bữa chiều:

-Phở thịt bò,gấc,hành tây,nấm bào ngư

Văn bản mới

702/SGDĐT-GDTrHTX

Ngày ban hành: 02/04/2024. Trích yếu: Sở Giáo dục và Đào tạo Bình Dương thông báo công khai danh sách các trung tâm ngoại ngữ, tin học, cơ sở giáo dục kỹ năng sống trên địa bàn tỉnh Bình Dương đã được cấp phép theo thẩm quyền.

Ngày ban hành: 02/04/2024

KH số 37/KH-PGDĐT

Ngày ban hành: 21/06/2024. Trích yếu: Tuyển sinh MN

Ngày ban hành: 21/06/2024

QĐ số 66/QĐ-PGDĐT

Ngày ban hành: 12/06/2024. Trích yếu: Công nhận BDTX THCS

Ngày ban hành: 12/06/2024

Thăm dò ý kiến

Bạn quan tâm nhất điều gì khi con đến trường?

violimpic
Bộ giáo dục và đào tạo
Bạn đã không sử dụng Site, Bấm vào đây để duy trì trạng thái đăng nhập. Thời gian chờ: 60 giây